Intro à la mécanique quantique

Voici quelques remarques bien senties qui devraient vous retourner le cerveau, car on vous a quand même bien enfoncés certains principes à l’école, lesquels principes se sont avérés généralement bien vérifiés, et ça suffit pour vivre.

  • Le monde est « atomique ». Nous sommes constitués d’atomes = des particules. Mais si, vous savez, les électrons et les noyaux constitués de neutrons et de protons.
  • On connait aussi toutes ces histoires d’ondes, en particulier électromagnétiques. Utiles pour votre smartphone.
  • On vous a appris que les charges électriques opposées s’attirent. Avec des histoires de déviations dans les champs magnétiques : elles tournent.
  • Vous savez que deux masses s’attirent (sans jamais se repousser) : c’est la gravité.

Et vous avez en tête le modèle planétaire d’un atome : des électrons qui tournent autour du noyau. Tout ça parce qu’un atome d’hydrogène (neutre) est constitué d’un proton (positif) et d’un électron (négatif) qui s'attirent.

Modèle planétaire

Ne niez pas, vous avez appris tout ça à l'école (sinon, ça craint).

Ce que vous savez peut-être moins, c’est qu’en agrandissant un seul atome à la taille d’une pièce, alors le noyau est un grain de poussière au centre, et l’électron taille la route sur les murs. Oui, c’est assez vide. Ce qui permet ensuite d’imaginer que les trous noirs, c’est possible, il y a de la place inutilisée.

C'est là qu'il faut poser la question à deux balles :

Pourquoi l’électron ne tombe pas sur le noyau ?

Et oui, non seulement il y a l’attraction électrostatique, puissante, mais en plus il y a la gravité.

La gravité, si on calcule sa force, ce n’est vraiment pas lourd, on négligera.

🤨 Oui, mais t'oublie la force centrifuge !
🤗 Bonne remarque.

Il va falloir que l’électron tourne vite pour avoir une force centrifuge suffisante pour compenser l’attraction électrostatique (de l’ordre de 100 m/s si vous voulez le savoir).

Mais ça, c’est un raisonnement en 2D, à plat. On sent qu’en 3D, ça va faire bizarre : pourquoi la trajectoire « tournerait » autour du noyau en 3D ? Car on vous a aussi appris que le plan de rotation d'un pendule garde toujours la même direction dans l'espace rappelez-vous l'expérience du pendule de Foucault.

Et c'est pire que ce que vous croyez.

Vous savez ce que c'est qu'un synchrotron ? Qu’est-ce qu’ils y font ?

Ah ben tiens, ils font tourner des électrons, et plutôt vite. On les fait tourner dans un anneau parce que c’est plus commode pour les accélérer, parce qu’en ligne droite, faudrait faire vraiment très long. On leur donne « un coup de pied » à chaque tour pour les accélérer.

Sauf qu'un électron, comme tout objet qui se respecte, ça ne veut pas tourner. Il veut aller en ligne droite, ça s’appelle l’inertie.

Pour l’obliger à tourner, on le colle dans un champ magnétique. Mais l’électron râle quand même quand on l’oblige à tourner : les équations de Maxwell indiquent que lorsqu’une particule chargée tourne, alors elle émet des photons. C’est quand même pratique pour obtenir le fameux « rayonnement synchrotron », RS pour les intimes.

Lequel synchrotron n’est pas un cercle parfait : ce sont en fait des lignes droites + des arcs de cercle.

Synchrotron
😮 Tiens donc, dès qu’une particule en mouvement tourne, elle émet du rayonnement ?
C'est exact.
🤨 Et pour mon atome alors ?
😖 Ah ben non, pas là, ça n’a rien à voir !

Effectivement, s’il émettait du rayonnement, il perdrait de l’énergie, donc notre électron ralentirait, et il tomberait.

On se fait donc entuber quelque part avec cette histoire d’atome et d'électron-planète qui tourne autour. Ça ne marche certainement pas comme ça.

🤔 Ça se comporte plutôt comme une onde, alors ?
😒 Mouais, pourquoi pas.

On sait que les ondes possèdent une fréquence –une longueur d’onde (c’est la même chose). Et qu’elle est associée à une énergie : plus ça oscille vite, plus c’est énergétique.

C’est là que vous pouvez faire votre première histoire de quantification de niveau d’énergie qui parait plausible (enfin, dans une certaine mesure).

Si l’électron est une onde qui possède une certaine énergie, donc une certaine fréquence, ce serait quand même plus satisfaisant que l’onde autour de l’atome soit bien stable, stationnaire. Autrement dit, faut que ça se raccorde bien. Si c’est déphasé, alors la superposition va détruire l’onde.

Pour que ça se raccorde bien, à une fréquence donnée, les orbites possibles sont forcément un multiple entier de la longueur d’onde du coup ?
🤩 Et oui, la quantification apparait !
Modèles d'atomes

Mais bon, on sent bien que tout ça n’est pas vraiment satisfaisant : on constate plus qu’on ne comprend. C’est quoi la règle qui définit tout ça ?

Eh bien Schrödinger a donné une équation (compliquée, certes) qui a l’air de bien marcher, mais bon, sans justification. Mais la recette marche très bien, on ne l’a jamais démentie.

Equation de Schrödinger
Dite « indépendante du temps »
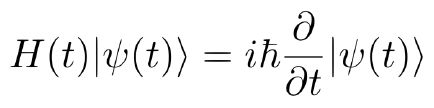
Equation de Schrödinger
La complète, qui fait peur.
Oui, il y a des nombres imaginaires, des dérivées, des trucs compliqués...

Mais on n’est pas plus avancé pour la compréhension. Mais pourquoi et comment ça marche comme ça ???

On a seulement un moyen de calculer, qui marche.

Cette équation n'a jamais été mise en défaut ! Ceci dit, personnellement, quand on l'applique dans un système physique, je trouve qu'il y a des raccourcis parfois un peu suspects. Vous verrez ça au long de mon cours, mes questionnements...